SEO Статьи

Расчёт параметров вертикального многоступенчатого насоса: пошаговая техническая инструкция

Вертикальные многоступенчатые насосы применяются в системах водоснабжения, отопления, в промышленности и энергетике, где требуется стабильное давление и высокая напорная характеристика. Точный расчет параметров такого насоса — ключ к эффективной и долговечной эксплуатации оборудования. Ниже приведена пошаговая методика расчета на примере насосов типа KVANT серии KR(L) и как не ошибиться в выборе при подборе насоса.
Kvant - расчеты
Расчет параметров насоса

1. Исходные данные (входные параметры)

Перед началом расчета необходимо собрать всю техническую информацию:
Параметр
Обозначение
Единица измерения
Необходимый расход жидкости
Q
м³/ч или л/с
Требуемый напор
H
м вод. ст.
Плотность жидкости
ρ
кг/м³
Температура перекачиваемой среды
t
°C
Давление на входе (если есть)
P
Па или м
Допустимый уровень шума и вибрации
-
Состав примесей и агрессивность среды
-

2. Расчет напора (общий напор H)

Общий напор складывается из нескольких компонентов:
  • Hгео — геодезический напор (разница по высоте между источником и точкой подачи).
  • Hпот — потери на входе и выходе из насоса (при больших скоростях или нестандартной арматуре).
  • Hсопр — потери на трение в трубопроводе (рассчитываются по формуле Дарси-Вейсбаха).
Где:

  • λ — коэффициент сопротивления,
  • L — длина трубопровода,
  • D — внутренний диаметр труб,
  • v — скорость потока,
  • g — ускорение свободного падения.

3. Определение требуемой мощности (Pдвигателя)

Мощность рассчитывается исходя из требуемого расхода и напора:
  • ρ — плотность жидкости (обычно 1000 кг/м³ для воды),
  • g =9.81 м/с²,
  • Q — расход, м³/с,
  • H — напор, м,
  • ηнасоса — КПД насоса (обычно 0.6–0.8).

Фактическая мощность с учетом КПД электродвигателя:
Инженер-конструктор KVANT:

"Всегда учитывайте запас по напору и мощности не менее 10%. А при работе с агрессивной средой — запрашивайте индивидуальный подбор материалов. Это продлит срок службы оборудования и сократит затраты на обслуживание."

4. Подбор числа ступеней

Так как вертикальный насос многоступенчатый, общий напор достигается сложением напоров всех ступеней:
Hодн — напор, создаваемый одной ступенью (указывается в технической документации KVANT).
Пример: если требуется H = 90 м, а одна ступень дает 10 м, то потребуется минимум 9 ступеней.

5. Определение типа корпуса и материалов

Зависит от температуры, давления и агрессивности среды:
Условие
Материал корпуса
Вода ≤ 80°C
Чугун (GG25 или GGG40)
Горячая вода, > 80°C
Нерж. сталь AISI 304/316
Слабые кислоты, щелочи
Нерж. сталь AISI 316L
Агрессивная среда
Сплавы на основе титана, бронзы и т.д.

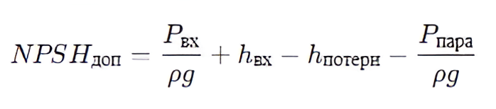
6. Проверка на кавитацию (расчет NPSH)

Обязательная проверка, особенно при низком давлении на входе:
  • NPSHдоп — доступный кавитационный запас (рассчитывается),
  • NPSHпотр — потребный кавитационный запас (указывается производителем).

Формула для расчета NPSHдоп:
Если условие не выполняется — выбирается насос с меньшим NPSHпотр​, изменяется глубина установки или повышается давление на входе.

7. Подбор электродвигателя

После расчета мощности определяется:
  • Тип двигателя
  • Напряжение питания
  • Степень защиты
  • Класс энергоэффективности

Заключение

Расчет параметров вертикального многоступенчатого насоса — это многоэтапный процесс, включающий оценку расхода, напора, потерь, кавитационного запаса и подбора материалов. Продукция KVANT серии KR(L) позволяет гибко настраивать конфигурацию под нужды любого производства — от водоподготовки до энергетики.

Оставьте заявку, и наш инженер свяжется с вами в течение дня